Honda Crv 2015 Reconditioned Price In Bangladesh

Cars For Sale In Bangladesh Garirbazar

Honda Vezel S Non Hybrid E Blue 2015 Basundhara Cellbazaar Com

2015 Honda Cr V Wiper Blade Set Kit Front Amp Rear 3 Blades

Cars For Sale In Bangladesh Garirbazar
Honda Bangladesh Dhs Motors Ltd Home Facebook

Suzuki Swift Price List India Suzuki Swift For Sale Suzuki Swift

New Car Prices 2016 The Daily Star

Recondition Toyota Car Price In Bangladesh 2019 Toyota Harrier
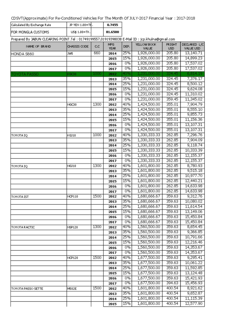
July Duty Sheet 2017 For Car Import Bangladesh Toyota

Toyota Esquire Price Bangladesh For 2020 Review Mpv Microbus

Vancouver Honda 2016 Honda Cr V Ex Awd Uh1891
Get Idea About Toyota Car Price In Bangladesh

2015 Honda Cr V Ex L Awd Ex L Bal Of Fac Warranty Ajax

Honda Crv 2005 Used Car Price In Bangladesh March 2020

Toyota Sienta G Hybrid 2015 Buy Online At Best Prices In

Cars For Sale In Bangladesh Garirbazar

Mitsubishi Motor Mitsubishi Outlander 2016 Price In Bangladesh
Posting Komentar untuk "Honda Crv 2015 Reconditioned Price In Bangladesh"